
Oscar, one of Safari’s two melanistic (black) African leopards, attacked and seriously injured one of Safari’s employees, Jon Soltis, on December 11, 2004, the same day that his (Oscar’s) two cubs were removed from their mother Mirage, Oscar’s mate living in the enclosure next door to his. Both adult leopards were emotionally disturbed by the removal of the newborn cubs.The cubs were only two days old at the time, but the intent was for them to be raised by humans and bottle fed, to increase their docility—for use at “interactive zoos.” Bagheera went to Tiger Safari in Tuttle, OK, when he was two weeks old. Amadeus was removed from his brother Bagheera’s company when he was only five days old and was raised at Kurt Beckelman’s home until he was old enough to come back to be on display at Safari’s. He soon went home to become Kurt’s permanent pet.
Read a previous post, for more information: https://www.facebook.com/media/set/?set=a.428799703864388.1073741826.375092402568452&type=1
All supporting documents and photos to this blog post can be viewed through this link to the post on Safari’s Truth Destination Facebook page:
https://www.facebook.com/media/set/?set=a.434728089938216.1073741828.375092402568452&type=1
Jon went in to Oscar’s enclosure to clean and soon after, Oscar attacked him from behind, biting into his scalp and left forearm. Stacy Scroggins, the husband of the park’s owner Lori Ensign-Scroggins, was in the area, outside of Oscar’s cage. Stacy punched Oscar in the head and hit him with a shovel to get the leopard off of Jon. Lori drove Jon to the emergency room, where he received stitches. The ER doctor was told that the injury was caused by a dog (an excuse used often for injuries caused by Safari’s animals to avoid problems with and penalties from the USDA).
Someone did report the attack and injury to the USDA, though, and it was included as a finding in a January 2005 inspection by one of the agency’s inspectors (all are veterinarians). From the report (see screen cap of this page from the report in photo album attached to this post):
_____
“In a separate incident reported to us by [identity removed], another part time employee was attacked by a leopard. In this incident, a female leopard was housed in an enclosure next to a male leopard. Babies were removed from the female enclosure. This caused the adult animals to be agitated. An employee later entered the male enclosure and was attacked by the animal on the arm and shoulder. Animals shall be handled as expeditiously and carefully as possible to avoid stress, physical harm and unnecessary discomfort. Handlers must be experienced and able to apply their knowledge of safety.”
_____
In a series of comments (in response to comments made by us) posted both to a recent article on KJRH and on her personal FB page, Lori Ensign-Scroggins, admitted to breeding the leopards, to having the cubs taken from their mother, and to the leopard attack. However, she blames a lack of communication with staff in not informing them soon enough to stay away from the leopards to avoid problems. Below is what she wrote related to those subjects, including her recopying the portions of my (Jolie’s) comments before her response to each. [No changes were made to the spelling or capitalization—this is how it was posted on the article, with the exception of my adding spacing between paragraphs. Lori’s responses are in CAPS]:
_____
Lori wrote:
QUOTE
JolieAdams QUOTE: Lori Ensign-Scroggins bred two of Safari’s black African leopards Mirage and Oscar, with the result of three litters of cubs. The first litter was born in December 2004. TWO DAYS after the cubs were born, they were removed from their mother, to be raised by humans and bottle fed, to socialize them with humans and allow them to be handled for entertainment purposes for other interactive zoos and sanctuaries and possible as private pets.
THE TRUTH: YES THERE WERE BABIES BACK IN 2004. THEY WERE CONTRACTED TO A USDA ORGANIZATION WHO WANTED THE WHOLE LITTER. WE PULLED THEM AND THEY WERE GIVEN TO THE OTHER ZOO. TO A ZOO. AND BECAUSE SOME PEOPLE DID NOT LIKE THAT, WE STOPPED BREEDING AFTER THAT! JUST TO APPEASE GOSSIPING HATERS?! ZOO’S BREED FOR OTHER ZOO’S ALL THE TIME. GENERALLY GETTING POSITIVE FUN LOVING PRESS FROM IT. WHY IS THIS AN ATTACK? OTHER THAT TO JUST TRY TO CAUSE TROUBLE? PERIOD.
Removing those cubs distressed the mother leopard Mirage and upset her mate Oscar. That same day, Oscar attacked one of the volunteers who came into the cage to care for him, resulting in serious injuries that required the care of emergency room treatment.
YEP. IT HAPPENED. I WAS WALKING UP ONE HILL TO TELL THE CREW WE HAD BABIES, AND NOT TO GO INTO CAGES, OR EVEN THAT AREA. THEY WERE COMING DOWN OTHER HILL TO FEED AND CLEAN. IT HAPPENED. THIS IS WORKING WITH EXOTICS. WE HAVE LOCKOUTS FOR THESE GUYS NOW. NEVER EVER GOING IN WITH THE LEOPARDS.
END QUOTE
_____
Even while admitting to the above, she still chose to lie about: 1) Only being one litter bred from Mirage and Oscar. There were three litters born. 2) The “whole litter” of two cubs did NOT go to the same zoo. One (Bagheera) went to Bill Meadows at Tiger Safari in Tuttle, OK, and the other remained at Safari’s (Amadeus), as documented by many photos taken and posted online of Amadeus, who was raised by and then went to live permanently with Kurt Beckelman, Safari’s park manager for many years up through the present. This has been carefully documented, in previous post on this page, which I am including in this post for the second time, for ease of access to readers:
https://www.facebook.com/media/set/?set=a.428799703864388.1073741826.375092402568452&type=1
AZA accredited zoos in the US when breeding cubs—not one would think of removing cubs from their mother at two days of age to send off to another zoo. A recent, local example of breeding large felids by an accredited zoo is the two jaguar cubs born at the Tulsa Zoo in April 2012. Their mother Ixchel nursed and raised them. This breeding was carefully planned through the Species Survival Plan. They will stay at the Tulsa Zoo until they are of mature breeding age.
http://www.tulsazoo.org/contact-the-tulsa-zoo/media/press-releases/first-jaguar-cubs-born-at-tulsa-zoo/
The Tulsa Zoo did have an endangered Malayan tiger birth in 2012 to first-time mother Jin. After 24 hours from the birth, Jin lost interest and left the cub alone for several hours (not uncommon for first-time tiger mothers, according to the zoo). The newborn cub was removed to be examined and have blood work done. Based on concern about lack of maternal care, Berani the cub was hand raised for six weeks before it then went to live at Point Defiance Zoo and Aquarium in Tacoma, Washington, to become foster brothers with another tiger cub and learn how to be a tiger in a safe environment.
http://www.tulsazoo.org/contact-the-tulsa-zoo/media/press-releases/beranis-big-adventure
In both of these instances at the Tulsa Zoo, the number one priority for breeding these large felids was survival of the species. After the births, the number one concern was for the health and well-being of the mothers and their cubs.
At Safari’s—one of the (formerly) USDA approved “zoos” that Lori mentions, the choices made for breeding and hand raising cubs were commercial—to create babies for sale or trade to be used at zoos for entertainment purposes—to draw in the public to the parks to see the babies and, at some interactive zoos, possibly handle them or have photos taken with them. This is NOT against the law. However, it does contradict what Lori has said is the mission of Safari’s and disputes her frequent assertions that she does not buy or breed the animals at Safari’s—that all are rescues. This is defrauding the public, keeping people uninformed about what activities their donations of money and time are really going toward. Why does Lori misrepresent these activities—keeping them hidden, if they are legal? Because she knows that some people would not approve. By representing the park as an all-rescue facility, she will gain more sympathy and financial and volunteer support.
There are conflicting reports on whether or not Jon was informed to stay away from the leopard cages that day. Lori states that the staff were not informed in time (in her comment posted above), one former staff member remembers that night Jon was specifically instructed to keep away because Mirage was agitated by having her cubs removed but he ignored those instructions, and another former staff member states that both Jon and Kurt told her the following week that Jon had been told to clean those cages and he was following instructions that night.
Regardless of whether or not management was responsible for instructing Jon to clean the leopard cages or told him to stay away from them, we do know that the leopard bite was reported as a dog bite to ER personnel.
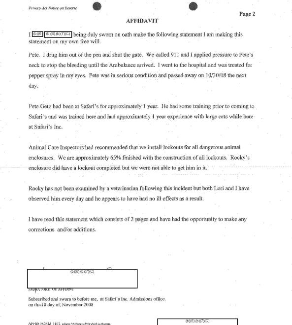
With Lori’s long history of not telling the truth and passing blame to someone else, it’s not difficult to believe that she might misrepresent the facts of that night, just as she did after the liger attack that resulted in the death of Peter Getz. Lori said in 2008 that safety protocols were in place and PETE did not follow them, without ever revealing to the public the important fact that Kurt Beckelman was with Pete feeding the big cats that day and KURT was the one who opened the gate for Pete to throw the deer carcass into the liger’s enclosure. Nor did she or Kurt admit that, even though a catwalk was already in place to safely feed the liger, there were times when it was NOT used. The day Pete was attacked was not the first time the gate to the enclosure was opened to feed the liger.You can read Lori’s recent comments in full, posted to the March 8, 2013, article here:
http://www.kjrh.com/dpp/news/local_news/broken_arrow/Safaris-Animal-Sanctuary-in-Broken-Arrow-is-looking-for-donations-and-volunteers
And you can also read Mike Ensign’s comments posted to that article, as well. Mike is Lori’s brother who lives out of state. You might find a family ‘resemblance’ in the way they communicate with others.You can read the full text of her ‘End of a Relationship Post’ with all her comments in one essay below (and see the screen caps of the post in the photo album attached to this post).In a new post later this week, we will address the full remarks of Lori’s and identify the lies told within them.
_____
Lori wrote:
QUOTE
Lies and twisted sick truths of people with no life. THIS IS LONG AND BORING – I THINK – BUT IT’S ANSWERS IF YOU WONDERED… You know you’ve “made it” when you have haters! I’ve been doing rescue for 18 official years, and exotics unofficially since I was 18. I’m not perfect. I make mistakes. But most of my biggest mistakes are the people who I have allowed in my world. I trust all. Which in the “good world” is a good thing. But there are worse predators out there than ANY lion or tiger. People who thrive on hurt, lies, manipulation, and the ruthless sense of power. I generally do not give ANY response to this people, for they thrive on reaction, and gain power from hurt. But I have been getting lots of posts from friends that don’t understand my methods. For one, I refuse to pay to sue a person, use good money on a bad person. Hence giving them more joy and power, and wasting more of my time to prove their stupidity. I will address these haters – most being the same person under aliases to give her multiple personalities someone to talk to. Here is the real truth page addressing the lies on her “truth page”. If that isn’t twisted in itself?! Until I hear from so many of you – I have these crazies “blocked” so I don’t read the crap. But when everyone keeps bringing it up – I get sick of responding over and over individually… so here goes.. her twisted posts and my responses in CAPS. JolieAdams aka Ivy Cooper — FORMER VOLUNTEER OF WHICH WE LET GO. SHE BLATANTLY THRIVES ON PLAYING WITH PEOPLES LIVES. LAUGHS AND ENJOYS THIS. HAS NO JOB, STAY HOME MOM, WITH ALL DAY TO PLAY ON COMPUTER, AND GET A POWER TRIP BY THESE GAMES. Her attack & lies: Lori Ensign-Scroggins lied about the circumstances surrounding intern Peter Getz’s death in 2008, resulting from the liger attack at Safari’s Sanctuary. It was normal procedure to open many of the big cats’ enclosures to feed them, even go inside the cage right near the big cats, not separated from them, to feed them and clean their cage. We have photo proof of it, which was sent to the USDA more two months ago, that this behavior never changed–they continue to feed in reckless and dangerous ways. WE DO GO IN WITH SOME EXOTICS, ARE BUILDING LOCKOUTS FOR THEM ALL, BUT THE ONES WE RAISED ARE STILL SWEETHEARTS, AND ONLY A FEW OF US TRAINED PERSONS DO THIS… WE ONLY GO IN WITH A HANDFUL OF CATS WE RAISED. WE DO NOT TRAIN NEW PEOPLE TO DO THIS, AS WE ARE BUILDING LOCKOUTS AND ALL WILL BE HANDLED THIS WAY AS WE CHANGE. THIS IS NOT AGAINST THE LAW. YOU HAVE PROOF? I POST THE PICTURES, AND EXPLAIN EACH ISSUE DAILY! PROOF OF WHAT? ME LOVING THESE ANIMALS? THE PETER GETZ INCIDENT WAS GOING IN WITH ONE OF THE EXCLUDED ONES THAT NO ONE IS ALLOWED TO GO IN WITH, AND A LOCKOUT HAS BEEN BUILT FOR HIM FOR YEARS, WAY BEFORE THE INCIDENT. AND ON THAT DAY, HE CHOSE NOT TO USE IT, TO HIS DEMISE, AND HEARTBREAK OF ALL OF US. IT SHOULD HAVE NEVER HAPPENED, AGAINST ALL PROTOCOL. AND WIL HAUNT US FOR LIFE. AS WITH GETTING BEHIND THE WHEEL OF A CAR, YOU KNOW THE SPEED LIMIT, YOU KNOW THE PROPER ROADS TO TAKE, YOU KNOW THE RULES. BUT SOME PEOPLE CHOOSE TO SPEED IN EXCESS OF SAFE LIMITS, CHOOSE TO GO OFFROAD, CHOOSE TO DRINK AND DRIVE, CHOOSE TO THINK THEY ARE ABOVE THE LAW. THAT CHOICE SOMETIMES HAS BAD CONSEQUENSES. DOES THAT MEAN “DON’T DRIVE?” Her attack & lies: This is why the park will never be re-licensed by the USDA while Lori and her key staff are connected to it in any way whatsoever. Take a look for yourself. THIS IS A LIE. I GAVE UP MY LICENSE WILLINGLY. I COULD HAVE CONTINUED, BUT I PHYSICALLY CANNOT DO ALL THAT I COULD DO 10-15 YEARS AGO, DUE TO MY DEBILITATING DISEASE OF MULTIPLE SCHLEROSIS. STRESS DRIVEN IN PART BY USDA AND SICK PEOPLES GAMES. THE WAY THE USDA OPERATES IS THIS… THEY COME ANNUALLY FOR INSPECTIONS, WRITE UP ANYTHING THEY INTERPRET AS OFFENSIVE. REFLECTING ON A VAGUE RULE BOOK THAT CAN BE INTERPRETED MANY WAYS. EXAMPLE: Structure; construction. Housing facilities for dogs and cats must be designed and constructed so that they are structurally sound. They must be kept in good repair, and they must protect the animals from injury, contain the animals securely, and restrict other animals from entering. WRITTEN UP FOR RUST ON PAINTED METAL… IT HAPPENS, WE ARE IN HUMIDITY OKLAHOMA! WE FIX THIS, BUT IT CONTINUALLY HAPPENS – WE PAY EXTRA FOR RUSTOLEUM, STILL HAPPENS. THESE SIMPLE WRITE UPS HAPPEN. LOOK AT ANY ZOO, EVEN TULSA ZOO HAS PAGES OF WRITEUPS. THEN EVERY 5-6 YEARS THEY ADD THEM ALL UP, AND CREATE AN INVESTIGATION, THEN CITE YOU, YOU PAY GENERALLY $1000 PER WRITEUP MINIMUM. IT DOES ADD UP. IT WAS TIME FOR OUR 5-6 YEAR INVESTIGATION, AND I WAS ALREADY LOOKING TO LETTING A YOUNGER HEALTHIER CREW TO TAKE OVER, FOR MY MS WAS TAKING OVER. BUT I JUST WASN’T 100% READY TO LET GO –NOT THAT I’LL EVER BE READY TO LET A BUSINESS THAT I HAVE STARTED, AND RUN FOR 18 YEARS OF ALL MY LIFE PASSIONS AND SAVINGS –JUST LET GO- BECAUSE OF ILLNESS. THESE HATERS JUST TOOK A WEAK SITUATION, AND TURNED IT INTO AN OBSESSION FROM JEALOUSY. I’M ONLY 45. IT IS VERY HARD TO ADMIT THAT I CANT DO IT ANYMORE. I USED TO DO EVERYTHING, EVERYTHING! I HAVE HAD A FULL LIFE OF EXPERIENCES THAT MOST ONLY DREAM OF, TRAVEL, MODELING, RACING CARS, EXOTIC ANIMALS, AWESOME JOBS, AT ONE POINT LOTS OF MONEY —WHICH ALLOWED ME TO START THIS RESCUE. MANY PEOPLE ARE JEALOUS OF THINGS I’VE DONE. I LOOK BACK AND CAN’T BELIEVE IT MYSELF. NOW MARRIED TO A GREAT GUY WHO FLYS FOR FREE, SO WHEN I GET TIME OFF, WE FLY AWAY INSTEAD OF STICKING AROUND HOME… IT’S JUST AS FREE TO GO TO HAWAII AS IT IS TO GO TO ARKANSAS. HELLO?? WHICH WOULD YOU DO? ANYWAY – M.S. WHAT IS IT? THAT’S HARD TOOO. IT IS AN INDVISIBLE ILLNESS FOR THE MOST PART. YOUR BODY IS ATTACKING ITS OWN CENTRAL NERVOUS SYSTEM. IN MY CASE, IT MAKES BODY PARTS GO NUMB, LOOSE FEELING, LOOSE CONTROL. I HAVE LESION ON MY BRAIN AND SPINE. AS STRESSES INCREASE, MS ATTACKS IN “EPISODES”. AN EPISODE CAN LAST A DAY, WEEK, MONTH… THEN EACH ATTACK LEAVES PERMANENT DAMAGE. YOU NEVER FULLY REGENERATE. THE SPINE LESIONS ARE AFFECTING MY LEFT SIDE, MOSTLY LEFT LEG AND HAND. CAUSING UNCONTROLLABLE STIFFNESS, CRAMPING, NUMBNESS, LACK OF CONTROL. THE BRAIN PART AFFECTS MY THOUGHT PROCESS AND SPEECH. WHICH ITS ALL ABOUT CONNECTIONS, MY BRAIN IS THINKING SOMETHING, BUT IT DOESN’T GET TO MY MOUTH TO SAY, OR SHOW IT. MY THOUGHTS GET JUMBLED UP, AND I GET ALL FRUSTRATED AND CONFUSED. THIS IS NOT GOOD! YOU CANNOT SEE ANY OF IT. SO I APPEAR NORMAL, EXCEPT THE LIMPING (MORE ON SOME DAYS THAN OTHERS)… CLUMSINESS, STUMBLING, DROPPING THINGS. I ACTUALLY LOOK DRUNK! THIS IS MULTIPLE SCHLEROSIS FOR ME. I NO LONGER FEEL I CAN DO SAFARIS JUSTICE, AND IF I HAVE ANOTHER “EPISODE” THE DOCTORS PREDICT IT “COULD BE THE ONE” THAT PUTS ME IN WHEELCHAIR. COULD RUIN MY SPEECH, THOUGHTS, CONTROL. WITH THAT POTENTIAL WEIGHING ON ME, I CANNOT BE IN CHARGE OF 200+ LIVES! I HAVE TO FIND SOMEONE TO TAKE THIS ON, CONTINUE THIS GREAT MISSION TO THE NEXT LEVEL— I’VE STARTED IT. BROUGHT IT THIS FAR, NOW TAKE IT AND RUN! THAT IS WHAT I AM HOPING FOR. ME AND MY FAMILY HAVE PUT HUNDREDS OF THOUSANDS OVER 18 YEARS INTO CREATING THIS. WHY SHOULD IT DIE, BECAUSE OF THIS DISEASE?? THE ANSWER IS “IT MUST CONTINUE!”. WITH OR WITHOUT ME, I JUST GOT IT GOING… JolieAdams QUOTE: Lori Ensign-Scroggins bred two of Safari’s black African leopards Mirage and Oscar, with the result of three litters of cubs. The first litter was born in December 2004. TWO DAYS after the cubs were born, they were removed from their mother, to be raised by humans and bottle fed, to socialize them with humans and allow them to be handled for entertainment purposes for other interactive zoos and sanctuaries and possible as private pets. THE TRUTH: YES THERE WERE BABIES BACK IN 2004. THEY WERE CONTRACTED TO A USDA ORGANIZATION WHO WANTED THE WHOLE LITTER. WE PULLED THEM AND THEY WERE GIVEN TO THE OTHER ZOO. TO A ZOO. AND BECAUSE SOME PEOPLE DID NOT LIKE THAT, WE STOPPED BREEDING AFTER THAT! JUST TO APPEASE GOSSIPING HATERS?! ZOO’S BREED FOR OTHER ZOO’S ALL THE TIME. GENERALLY GETTING POSITIVE FUN LOVING PRESS FROM IT. WHY IS THIS AN ATTACK? OTHER THAT TO JUST TRY TO CAUSE TROUBLE? PERIOD. Removing those cubs distressed the mother leopard Mirage and upset her mate Oscar. That same day, Oscar attacked one of the volunteers who came into the cage to care for him, resulting in serious injuries that required the care of emergency room treatment. YEP. IT HAPPENED. I WAS WALKING UP ONE HILL TO TELL THE CREW WE HAD BABIES, AND NOT TO GO INTO CAGES, OR EVEN THAT AREA. THEY WERE COMING DOWN OTHER HILL TO FEED AND CLEAN. IT HAPPENED. THIS IS WORKING WITH EXOTICS. WE HAVE LOCKOUTS FOR THESE GUYS NOW. NEVER EVER GOING IN WITH THE LEOPARDS. Lori has bred exotics at the park and purchased, sold, and traded them, for years, IN DIRECT CONTRADICTION to her repeated statements and official website stating that all of the animals at Safari’s are rescued. I RESCUE. 90% OF MY ANIMALS ARE RESCUE. I ALSO LOVE ANIMALS, OBVIOUSLY, SO I DID PURCHASE A COUPLE FOR MY ENJOYMENT. THAT IS NOT AGAINST ANY LAW. I LOVE ANIMALS! THAT IS ACTUALLY A GOOD THING. JolieAdams QUOTE: Many pseudo sanctuaries do the same thing but they are up front with people about it. That’s the difference. NO. ACTUALLY IT IS NOT. PSEUDO SANCTUARIES TELL YOU THEY RESCUE, WHEN 80% OF THEIR ANIMALS ARE OF THEIR OWN MAKING. THAT IS A LIE. Donors, supporters, and the general public should know the truth. Lori pretends to care about these animals. COME VOLUNTEER. COME SEE MY LIE. NO ONE LEAVES DOUBTING WHAT WE DO. EXCEPT JEALOUS PEOPLE WHO NEVER HAD THE DRIVE TO GO OUT ON A LIMB AND TRY TO DO SOMETHING WITH THEIR LIFE OTHER THAT BE A MARTYR. IT IS EASY TO SIT AT HOME AND TYPE ON A COMPUTER BAD THINGS ABOUT OTHERS, AND NOT GET OUT OF YOUR PAJAMAS. MAKES YOU FEEL GOOD ABOUT YOURSELF, FOR YOUR GUILT FOR NOT DOING ANYTHING POSITIVE WITH YOUR LIFE. I HAVE MADE MISTAKES. BUT I WENT OUT THERE AND I TRIED TO HELP SOLVE A PROBLEM. WHAT I KNEW WAS A GROWING PROBLEM FOR MANY PEOPLE AND SOCIETY. I KNOW I HAVE HELPED THOUSANDS OF ANIMALS. I HAVE REACHED HUNDREDS OF THOUSANDS OF PEOPLE WITH MY MISSION. I AM SORRY THAT I COULD NOT REACH A FEW UNREACHABLES. WOULD I CHANGE A THING? A FEW. BUT THE MAJORITY… HELL NO! I AM PROUD OF WHAT I HAVE DONE, AND FRUSTRATED THAT I PHYSICALLY CANNOT DO IT ANYMORE. MISS JOLIE, MISS IVY CAMPBELL… WHOEVER YOU ARE TODAY. THIS IS MY RESPONSE. IF YOU DON’T LIKE IT, POST AWAY. BUT I HAVE TOLD YOU MANY TIMES…… IF YOU THINK YOU CAN DO IT BETTER… COME ON OVER. HERE IS YOUR CHANCE. TRY. I UNDERSTAND THOSE PAJAMAS ARE COMFY, AND THOSE TWINKIES ARE GREAT. STAY IN BED AND BASH ME… I HAVE LIVED MY LIFE, AND I’M PROUD. WHAT ARE YOU PROUD OF? Lori Ensign-Scroggins From here on, I will continue to block you haters, and hope all you good people out there do too. I have just wasted an hour of my time I could have been with my animals…. Grrrrr Any one have any questions, just email me, call me, come volunteer and see for yourself! Have a grrrreat day!
END QUOTE